公司logo
搜索
中文 | EN
  • 关于我们
  • 解决方案
  • 合作案例
  • 新闻中心
  • 技术服务
  • 联系我们
诺仕德科技 企业理念
荧光光纤测温 油浸式变压器光纤测温 智能无线火灾报警自动灭火系统 智能除湿装置 智能操控装置 电气火灾监控系统
行业应用
公司动态 行业资讯
资料下载 常见问题
精英人才 留言
公司logo
 
  • 关于我们
    • 诺仕德科技
    • 企业理念
  • 解决方案
    • 荧光光纤测温
    • 油浸式变压器光纤测温
    • 智能无线火灾报警自动灭火系统
    • 智能除湿装置
    • 智能操控装置
    • 电气火灾监控系统
  • 合作案例
    • 行业应用
  • 新闻中心
    • 公司动态
    • 行业资讯
  • 技术服务
    • 资料下载
    • 常见问题
  • 联系我们
    • 精英人才
    • 留言
  • English
首页 > 解决方案 > 荧光光纤测温
荧光光纤测温系统
发布时间:2021.09-29

工作原理

原理.png

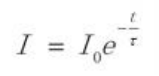
荧光物质的发光是由于能量高的光照射荧光物质,激发出比其能量低的荧光,激发出的荧光强度随时间成指数规律衰减。

公式1.png

公式中 I0 是t=0s时的荧光强度;τ为荧光寿命,即荧光 强度从I0 减小到I0/e的时间长度。荧光寿命,即荧光衰落时 间,是按指数方式衰减的时间常数,它依赖于不同的荧光 材料的特性,有几百纳秒,几个纳秒,   甚至还有亚纳秒。 如图1所示荧光衰减曲线。

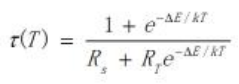
稀土荧光特性与温度关系推算到荧光衰减时间与温度有这样的关系:

公式2.png

公式中 Rs 、RT 、k为常数,T为热力学温度。

荧光衰减时间是温度参数的单值函数,温度升高,荧光寿命减小,通过测量荧光寿命可以得到温度值,利用该方 法测量的温度只取决于荧光寿命,而与其他参量无关

系统架构

系统架构.png

荧光光纤测温系统的优势

  1. 通道数量配置灵活

  2. 测温范围宽,测温精度高

  3. 安装方便,不受电磁干扰影响

  4. 直接准确的监测绕组、铁芯、绝缘的温度


< 上一篇:没有了 下一篇:没有了 >
公司logo
联系方式

地址:上海市闵行区元江路5500号第1幢

咨询热线:400-0330-119

网址:http://www.northde.cn


400-0330-119
Copyright © 诺仕德(上海)科技有限公司 版权所有  备案号:沪ICP备2022030084号
微信二维码
不支持video